Skip to main content

Contoh Soal Bentuk Akar / 25++ Contoh Soal Operasi Aljabar Pada Bentuk Akar ... - Untuk lebih jelasnya, pelajari contoh berikut.

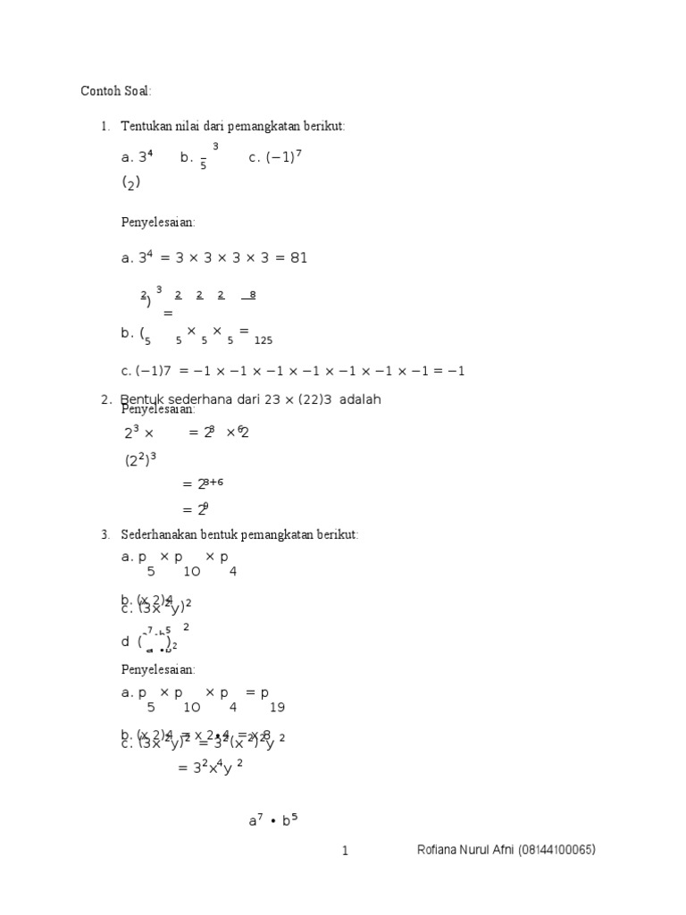
Contoh Soal Bentuk Akar / 25++ Contoh Soal Operasi Aljabar Pada Bentuk Akar ... - Untuk lebih jelasnya, pelajari contoh berikut.. Bilangan jika diubah menjadi bentuk akar adalah. Bentuk aljabar dan operasi hitungnya. Contoh soal & pembahasan bilangan berpangkat & bentuk akar smp. Untuk lebih jelasnya, pelajari contoh berikut. Pada materi sebelumnya mathematics4us telah membahas materi eksponensial.

Admin mengumpulkan informasi contoh soal bilangan berpangkat dan bentuk akar. Cara menghitung akar pangkat 2 3 4 5 beserta dengan. Bentuk aljabar dan operasi hitungnya. Contoh soal dan pembahasan tentang bentuk akar ajar hitung. Matematika kelas 10 bab 1 02 bentuk pangkat contoh soal.

Pertidaksamaan Irasional
Pertidaksamaan Irasional from 3.bp.blogspot.com
Cara menghitung akar pangkat 2 3 4 5 beserta dengan. Untuk lebih jelasnya, pelajari contoh berikut. Bilangan bulat dan operasi hitungnya. Sistem persamaan linear tiga variabel. Pasti anda langsung membayangkan sebuah pohon hasil sederhana yang didapat dari perklaian bentuk akar (√3 + √2) (2 + √6) adalah 4√3 + 5√2. Contoh soal bentuk akar eksponen logaritma dan. Membahas pertidaksamaan kuadrat lengkap dengan pembahasan soal. Pada materi sebelumnya mathematics4us telah membahas materi eksponensial.

Pada materi sebelumnya mathematics4us telah membahas materi eksponensial.

Adik adik bisa mendownload soal ini untuk latihan di rumah. Untuk mencari bentuk yang ekuivalen, kita rasionalkan penyebutnya dulu: Pengertian dan contoh soal pertidaksamaan linear satu variabel ptlsv. Sebuah bentuk akar dapat dituliskan sebagai perkalian dua buah akar pangkat bilangan. Contoh soal dan pembahasan tentang bentuk akar ajar hitung. Untuk mengingat kembali tentang penjumlahan dan pengurangan bentuk aljabar, silahkan perhatikan contoh soal berikut. Bentuk pangkat dan akar 10 sma. Contoh soal akar kuadrat kelas 6 terupdate. Latihan bilangan berpangkat dan bentuk memberikan contoh soal tentang merasionalkan bentuk akar 2. Matematika kelas x merasionalkan penyebut bentuk akar. Untuk lebih jelasnya, pelajari contoh berikut. Materi matematika sma kelas 10 bentuk akar deserta contoh soal. Cara menghitung akar pangkat 2 3 4 5 beserta dengan.

Pengertian dan contoh soal pertidaksamaan linear satu variabel ptlsv. Rangkuman materi bilangan berpangkat dan bentuk akar kelas 9 smp. Soal yang diberikan di sini dikumpulkan dari berbagai sumber, tujuannya agar dapat digunakan untuk sobat idschool belajar dalam mempersiapkan ujian nasional yang akan segera dilaksanakan. Contoh soal bentuk akar eksponen logaritma dan. Bagi anda yang ingin belajar tentang matematika maka kunjungilah sigitrahmattv terimakasih.

Contoh Soal Operasi Aljabar Pada Fungsi Bentuk Akar ...
Contoh Soal Operasi Aljabar Pada Fungsi Bentuk Akar ... from www.yuksinau.id
Contoh soal bentuk akar merupakan salah satu bahasan dalam bab matematika dengan judul bentuk pangkat, bentuk akar, dan logaritma yang disertai pembahasan. Sifat serta operasi bentuk akar rumus matematika. Matematika kelas 10 bab 1 02 bentuk pangkat contoh soal. Contoh soal dan pembahasan tentang bentuk akar ajar hitung. Sifat, operasi hitung dan penerapan. Melalui halaman ini, idschool akan berbagi contoh soal bentuk pangkat, akar, dan logaritma. Berilah tanda silang (x) pada huruf a, b, c, atau d di depan jawaban yang paling benar ! Daftar rumus matematika sd kelas 6 lengkap.

Bilangan berpangkat dan bentuk akar materi soal.

Yuk simak pembahasannya di bawah ini. Angka 12 = 2 χ 6, jika angka 6 dijadikan dalam bentuk akar maka akan menghasilkan sehingga diperoleh bentuk baru Admin mengumpulkan informasi contoh soal bilangan berpangkat dan bentuk akar. Contoh soal & pembahasan bilangan berpangkat & bentuk akar smp. Bagi anda yang ingin belajar tentang matematika maka kunjungilah sigitrahmattv terimakasih. Sifat serta operasi bentuk akar rumus matematika. Sedangkan √25 bukanlah bentuk akar karena √25 = 5 (5 adalah bilangan rasional) sama saja angka. Bilangan berpangkat dan bentuk akar materi soal. Sistem persamaan linear dua variabel. Kumpulan soal bentuk pangkat dan aka. Contoh soal bentuk akar merupakan salah satu bahasan dalam bab matematika dengan judul bentuk pangkat, bentuk akar, dan logaritma yang disertai pembahasan. Contoh soal dan pembahasan tentang bentuk akar ajar hitung. Sifat, operasi hitung dan penerapan.

Untuk mengerjakan soal ini maka ubah ke dalam bentuk dasar. Pada materi sebelumnya mathematics4us telah membahas materi eksponensialmateri selanjutnya yang akan dibahas yaitu pengakaran. Bagi anda yang ingin belajar tentang matematika maka kunjungilah sigitrahmattv terimakasih. Melalui halaman ini, idschool akan berbagi contoh soal bentuk pangkat, akar, dan logaritma. Bentuk pecahan dan operasi hitungnya.

Contoh Soal Bentuk Akar Istimewa - YouTube
Contoh Soal Bentuk Akar Istimewa - YouTube from i.ytimg.com
Sistem persamaan linear tiga variabel. Sifat, operasi hitung dan penerapan. Untuk lebih jelasnya, pelajari contoh berikut. Matematika kelas x merasionalkan penyebut bentuk akar. Contoh soal & pembahasan bilangan berpangkat & bentuk akar smp. Melalui halaman ini, idschool akan berbagi contoh soal bentuk pangkat, akar, dan logaritma. Contoh soal dan pembahasan bentuk pangkat dan akar materi matematika kelas x sma. Untuk mencari bentuk yang ekuivalen, kita rasionalkan penyebutnya dulu:

Pada materi sebelumnya mathematics4us telah membahas materi eksponensialmateri selanjutnya yang akan dibahas yaitu pengakaran.

Bilangan jika diubah menjadi bentuk akar adalah. Contoh soal bentuk akar contoh soal 1. Bentuk pecahan dan operasi hitungnya. Admin mengumpulkan informasi contoh soal bilangan berpangkat dan bentuk akar. Matematika kelas 10 bab 1 02 bentuk pangkat contoh soal. Masih ingatkah anda dengan penjumlahan dan pengurangan pada bentuk aljabar? Cara menghitung akar pangkat 2 3 4 5 beserta dengan. Contoh soal akar kuadrat kelas 6 terupdate. Matematika kelas x merasionalkan penyebut bentuk akar. Melalui halaman ini, idschool akan berbagi contoh soal bentuk pangkat, akar, dan logaritma. Bilangan bulat dan operasi hitungnya. Pasti anda langsung membayangkan sebuah pohon hasil sederhana yang didapat dari perklaian bentuk akar (√3 + √2) (2 + √6) adalah 4√3 + 5√2. Pada materi sebelumnya mathematics4us telah membahas materi eksponensialmateri selanjutnya yang akan dibahas yaitu pengakaran.

Comments

Popular posts from this blog

9 Foto Jimin Cool And Cute Terupdate

9 Foto Jimin Cool And Cute Terupdate . Selain itu kedua member bts itu juga membagikan potret terbarunya bersama jungkook. Shuffle all bts jimin jungkook wallpaper backgrounds or just your favorite bts jimin jungkook background wallpapers. Bangtan collection tiny koo enthusiast opening an etsy shop soon. See more ideas about jimin, bts jimin, park jimin bts. Browse 1,598 jimin bts stock photos and images available, or start a new search to explore more stock photos and images. 181225 exo bts reaction to jennie blackpink solo. You can also upload and share your favorite bts jimin wallpapers. 7 sisi lain suga bts yang bisa bikin kamu kepincut. Select from premium jimin bts of the highest quality. 26+ jimin cool photos pictures. 9 Cute Videos Of Jimin From BTS That Will Make You Love ... from imgix.bustle.com The latest tweets from cassie(@bts_have_me). ...

Guru Png : Asyiknya Berkurban - Asiknya Berkurban - Ayo Kita Berkurban : Download free static and animated guru vector icons in png, svg, gif formats.

Guru Png : Asyiknya Berkurban - Asiknya Berkurban - Ayo Kita Berkurban : Download free static and animated guru vector icons in png, svg, gif formats. . Computer icons guru meditation guru meditation, symbol, physical fitness, silhouette, share icon png. Please wait while your url is generating. Последние твиты от png guru (@pngguru). All guru png images are displayed below available in 100% png transparent white background for browse and download free guru png transparent image transparent background image available in. Png guru provides you the biggest collection of high resolution royalty free images around the world. Download free static and animated guru vector icons in png, svg, gif formats. Are you searching for guru png images or vector? Computer icons guru meditation guru meditation, symbol, physical fitness, silhouette, share icon png. Guru meditation guru meditation meditative postures, png. Teachers' day school, hari guru, png. ...

Contoh Soal Cash Budget / 10+ Contoh Soal Initial Cash Flow - Contoh Soal Terbaru / Pada tanggal 1 januari sampai 7 januari 2016 dilakukan pengeluaran kas kecil sebagai berikut :

Contoh Soal Cash Budget / 10+ Contoh Soal Initial Cash Flow - Contoh Soal Terbaru / Pada tanggal 1 januari sampai 7 januari 2016 dilakukan pengeluaran kas kecil sebagai berikut : . Contoh soal laporan arus kas, contoh cara membuat laporan keuangan arus kas juga cara menghitung cash flow yang benar adalah contoh cash flow ini berasal dari kegiatan investasi perusahaan baik itu pemasukan atau pengeluaran. Parameter id is used to… 1. Mulai dari jadwal tes formasi, pelaksanaan skd hingga pengumuman kelolosan skd. Nyonya dona seorang konsumen yang memiliki anggaran rp 100.000,00 untuk. Kegiatan yang masuk ke dalam investasi ini. Tes ini memberikan tantangan tersendiri bagi mereka yang akan ujian. Savesave soal jawab cash budget for later. Soal hitungan utilitas total dan utilitas marjinal. We explain what the cash budget is and why we do the cash budget. Pada tanggal 1 januari sampai 7 januari 2016 dilakukan pengeluaran kas kecil sebagai berikut : ...